Der Kleinsignal-Eingangswiderstand der Schaltung
hängt vom Basisstrom ab. Er beträgt:

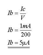
Er ist also bei einem gegebenen Arbeitspunkt von der Stromverstärkung
der Transistors abhängig. Geht man für das obige Beispiel von
einem Transistor mit V=200 aus, dann ergibt sich:

Der Eingangswiderstand berechnet sich damit zu:

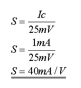
Für einen Mikrofon-Vorverstärker ergibt sich daher eine günstige
Anpassung, wenn das Mikrofon ebenfalls eine Impedanz von 5 kOhm besitzt.
Alle diese Betrachtungen gelten nur für die Emitterschaltung. Völlig
andere Verhältnisse ergeben sich bei der Kollektorschaltung und bei
der Basisschaltung.
Anwendung in einer HF-Schaltung YouTube-Kurzvortrag: Transistor-Steilheit |