Start
Experimente
Grundlagen
- Stromkreise
- - Ladung
- - Leistung
- - Widerstand
- - Reihenschalt.
- - Parallelschalt.
- - Vorwiderst.
- - Trafos
- - Kondensator
- - Spulen
Produkte
Neues
Impressum
|

2.8 Kondensatoren und Kapazität
Kondensatoren sind ebenso wie Widerstände Bauteile
mit zwei Anschlussdrähten. Schaltet man sie in Reihe zu einem Verbraucher,
dann ist der Stromkreis unterbrochen. Allenfalls beim ersten Einschalten
fließt ein kurzer Stromstoß. Verwendet man dagegen Wechselspannung,
dann fließt ein Strom, und der Kondensator verhält sich ähnlich
wie ein Widerstand.
Siehe auch: Kondensator als Energiespeicher |

Auf- und Entladen eines Kondensators
Der Kondensator besteht aus zwei Metallfolien, die
gegeneinander isoliert sind. Bei Anschluss einer Spannung werden die Folien
(Kondensatorplatten) aufgeladen, bis die Spannung gleich der Batteriespannung
ist. Die Ladung bleibt gespeichert und kann beim Anschluss eines Widerstands
in kurzer Zeit abfließen, wobei die Spannung abnimmt. Grundsätzlich
fließt nur Strom, solange die Spannung sich ändert. Die Größe
des Stroms hängt von der Plattengröße, von ihrem Abstand
und vom verwendeten Isoliermaterial (Dielektrikum) ab. Man ordnet dem Kondensator
als messbare Größe die Kapazität C in Farad (F) zu. Meist
kommen Werte im Bereich Mikrofarad (µF, millionstel Farad), Nanofarad
(nF=1/1000 µF) und Pikofarad (pF=1/1000 nF) vor. Die Kapazität
kann gemessen werden, wenn man den Spannungsanstieg Delta-U bei einem Strom
I in einer gewissen Zeit Delta-t bestimmt.

|
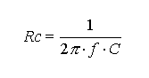
Beim Anlegen einer Wechselspannung ändert sich
die momentane Spannung zu jedem Zeitpunkt. Der Kondenstor wird also dauernd
aufgeladen und wieder entladen. Insgesamt beobachtet einen Wechselstrom,
der von der Spannung, der Frequenz und der Kapazität des Kondensators
abhängt. Der Kondensator verhält sich ähnlich wie ein Widerstand
und besitzt einen „kapazitiven Widerstand“ Rc.

Der Kondensator im Wechselstromkreis

Für einen Kondensator mit C=100µF bestimmt man bei einer
Frequenz von 50 Hz einen kapazitiven Widerstand von Rc=31,8 Ohm.
|

Phasenverschiebung zwischen Spannung und Strom
Im Wechselstromkreis mit einem Kondensator ist zu
beachten, dass es eine Phasenverschiebung zwischen Spannung und
Strom gibt, d.h. der höchste Strom tritt nicht zum Zeitpunkt der höchsten
Spannung auf, sondern früher. Aus diesem Grunde lassen sich auch nicht
die Gesetze der Reihenschaltung einfach auf einen Kondensator und einen
Widerstand anwenden. Trotzdem können Kondensatoren wie Vorwiderstände
eingesetzt werden. Allerdings sind größere Kapazitäten
meist nur bei Elektrolytkondensatoren erhältlich, die eine Polung
aufweisen und nicht an Wechselspannung betrieben werden dürfen.
Kondensatoren als Vorwiderstände setzt man in Lautsprecher-Frequenzweichen
ein, weil der kapazitive Widerstand mit der Frequenz sinkt. Ein Kondensator
in Reihe zum Hochtonlautsprecher verkleinert den Strom vor allem bei tiefen
Frequenzen. Man bezeichnet diese Schaltung auch als Hochpassfilter.
Siehe auch: Filter in einer Lichtorgel
|

Der Kondensator in der Frequenzweiche
Simulationsprogramm
zum Hochpassfilter (hochp.zip, 4 kB, VBRUN300 erforderlich) VB.Net-Version mit Quelltext: fkainka.de/vbnet/Hochpass.html VB.Net-Version mit Quelltext: fkainka.de/vbnet/Tiefpass.html

Übungsaufgaben
- Untersuchen Sie die Wirkung des Hochpassfilters durch
Verändern der Frequenz.
- Finden Sie Filtereinstellungen, mit denen bei 1,5 kHz
noch die halbe Spannung übertragen wird.
- Für den Fall Rc=R ist die sog. Grenzfrequenz mit
ca. 30% geringerer Spannung erreicht. Bestimmen Sie die Grenzfrequenz für
C=0,2µF und R=1k. Berechnen Sie Rc für die gefundene Frequenz.
- Bestimmen Sie sie mehrere Filtereinstellungen für
eine Grenzfrequenz von 800 Hz.
- Berechnen Sie einen Kondensator für einen Frequenzweiche
mit R=8 Ohm und f=5 kHz.
|

Kondensatoren erhält man in verschiedenen Bauformen,
die sich hauptsächlich in der verwendeten Isolationsschicht (Dielektrikum)
unterscheiden. Keramische Kondensatoren werden mit Kapazitäten von
ca. 1 pF bis 0,1 µF hergestellt. Folienkondensatoren bis ca. 10 µF
verwenden Kunsststoffolien und halten Spannungen von ca. 60 V bis zu einigen
kV aus. Die größten Kapazitäten von 1000 µF und mehr
erreicht man mit Elektrolytkondensatoren. Sie dürfen nur mit einer
bestimmten Polung angeschlossen werden und eignen sich nicht für Wechselstrom.
Grundsätzlich muss bei jedem Kondensator die höchste erlaubte
Spannung beachtet werden, damit es nicht zu inneren Überschlägen
und Kurzschlüssen kommt.
Drehkondensatoren und Kondensator-Trimmer können in ihrer Kapazität
verändert werden. Durch Drehen der Achse verändert man die Fläche
der sich gegenüberstehenden Kondensatorplatten. Eigenbau eines Drehkondensators YouTube-Kurzvortrag: Der Kondensator |

Anwendungen des Drehkondensators: Antennenabstimmung
und Detektorempfänger

|